Ребят, я конченный
Нахуя я это сделал? Нахуя я испортил такую милую песню?
Переход между фазами экономического развития подчиняется определенным закономерностям, которые можно рассматривать как сочетание экономических, социальных, технологических и институциональных изменений. Каждый такой переход сопровождается глубокими структурными сдвигами, связанными с изменением способов производства, моделей распределения ресурсов и управления. Основным драйвером этих процессов выступает сочетание новых технологий и изменяющихся общественных потребностей, которые требуют адаптации существующих систем и создания новых.
Экономическая эволюция демонстрирует чередование фаз, каждая из которых характеризуется доминирующим типом ресурсов и технологий. Например, переход от аграрной к индустриальной экономике сопровождался механизацией сельского хозяйства и массовым переселением населения в города. Индустриальная экономика уступила место постиндустриальной, где ключевую роль стали играть услуги и информационные технологии.
Законы перехода включают в себя такие элементы, как кумулятивный эффект технологий, роль капитала и труда, а также процесс диффузии инноваций. Кумулятивный эффект выражается в том, что достижения одной фазы создают базу для следующей. Например, индустриализация не могла бы быть успешной без накопленного капитала и знаний, полученных в аграрной экономике. Диффузия инноваций, в свою очередь, происходит постепенно, начиная с узкого круга пионеров и заканчивая массовым использованием.
Переход между фазами сопровождается кризисами адаптации, поскольку старые модели начинают терять эффективность, а новые требуют времени для внедрения. Например, индустриализация сопровождалась социальными волнениями и изменением привычного уклада жизни, а переход к цифровой экономике вызвал проблемы цифрового неравенства и изменения на рынке труда. Закономерности переходов определяются сложным взаимодействием факторов, требующих комплексного анализа.
Ниже я даю компактную и формульно-инспирированную сводку законов перехода между фазами экономического развития. Это не догма, а набор математических формализаций – полезных моделей, каждая из которых отражает один из ключевых механизмов, приводящих к смене систем (аграрная → феодальная → индустриальная → рыночная → постиндустриальная и т.д.). Для ясности даю пояснения переменных и краткую интерпретацию.
Закон 1
Закон кумулятивного технологического капитала (автокаталитический рост). Технологический запас T(t) растёт автокаталитически и зависит от уже накопленного T, от капитала K и от рабочей силы L:
Значение: положительная обратная связь (β ≥ 1) означает, что достижения одной фазы создают базу для следующей — при достаточном K и L темп роста технологии ускоряется, что даёт потенциал для структурного сдвига.
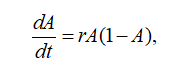
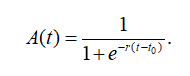
Закон 2
Закон диффузии инноваций (логистическая кривая и сетевой порог). Доля усвоивших инновацию A(t) ∈ (0,1) удовлетворяет логистическому уравнению:
решение даёт
В сетевой версии переход глобален, когда сетевой параметр преодолевает порог: если
(где λmax – наибольший собственный корень матрицы смежности сети, β – скорость передачи инновации), то локальные приёмы перетекают в массовое усвоение. Значение: инновации сначала ограничены пионерами, затем при превышении порога происходят быстрые массовые переходы.
Закон 3
Закон отбора и репликации (репликаторная динамика для стратегий/фирм). Доли стратегий/фирм xi эволюционируют по дифференциальному уравнению:
где fi – «приспособленность» (прибыльность/эффективность). Значение: стратегии с fi больше, чем fс чертой (среднее), усиливаются, слабые исчезают – это механизм, через который новые технологии вытесняют старые организационные формы.
Закон 4
Закон пороговой производительности (фазовый переход общественного устройства). Пусть производительность на работника p = Y / L. Существует критический уровень pc (зависит от норм потребления s, транзакционных издержек τ и эффективности рынков), при котором возникает специализация и урбанизация:
Можно формализовать порог как решение
где ϕ — минимальное «надсреднее» производство, необходимое для содержания нетрудовых профессионалов. Значение: пока p < pc, большинство остаётся в самообеспечении; при p > pc появляется устойчивый спрос на рыночные услуги и городское разделение труда.
Закон 5
Закон сетевой уязвимости/перколяции (порог глобальной связи). Возникновение системно-широких изменений определяется степенью связности цепочек поставок; если доля «связанных» узлов q превосходит qc (порог перколяции), локальные шоки становятся глобальными — и наоборот, при q < qc система фрагментирована и трансформации локальны. В модели эпидемического типа:
Значение: инфраструктурные и логистические сети диктуют, будут ли инновации/шоки ограничены или распространятся по всему хозяйству.
Закон 6
Закон энтропийно-энергетического ограничения (максимизация потока при ограничениях). Экономическая конфигурация эволюционирует в сторону состояний, обеспечивающих максимальный поток энергии/информации/ценности при заданных ресурсных ограничениях. Формально это можно записать как задачу оптимизации (аналог принципа максимума производства энергии):
где Σ(x) – мера «производства информации/полезной работы» (может быть аппроксимирована функцией полезности или суммой произведённых благ), C(x) – вектор ограничений (энергия, материалы, институты), R – доступные ресурсы. Значение: экономические переходы ограничены энергетическими и информационными возможностями; без соответствующего ресурсного фона фаза не реализуется.
Критерий устойчивости фаз (линейная стабильность)
Равновесие с параметрами (T’, K', L', …) устойчиво, если собственные числа якобиана динамической системы имеют отрицательные действительные части. Практически это превращается в простой тест: если небольшое усиление технологического капитала даёт положительную обратную связь, система уходит в новую фазу; если обратная связь демпфируется – фаза устойчива.
Переход фаз происходит, когда положительные автокаталитические эффекты технологий и капитализации (закон 1), подкреплённые массовым распространением (закон 2) и отбором более эффективных организационных форм (закон 3), превышают критические пороги ресурсной/продуктивной обеспеченности (закон 4) и сетевой связности (закон 5), всё это укладывается в энергетико-информационные ограничения (закон 6).
--
Предыдущий пост: Роль инноваций и технологической эволюции
Продолжение: Экономические кризисы как естественная часть эволюционного процесса
Этот пост входит в Часть 10. Общие законы экономической эволюции
Попытка выявить универсальные законы, управляющие развитием и вымиранием экономических систем. Роль самоорганизации и эмерджентных свойств.
Серия Происхождение экономических систем путём естественного отбора
Кто интересуется развитием общественно-экономических формаций, подписывайтесь!
Ну что ж, други мои... Не будем мудрствовать лукаво, а возьмём и сварим этот волшебный исцеляющий тело супчик.
Я рассольник никогда не варила, но ради ивента сейчас вместе с вами сделаю это и попробую.
Берём все необходимые ингредиенты: картошку, морковку, лук репку, обязательные солёные огурчики, пакетик перловки и... наши любимые... кто?? Куриные тефтельки! С ними любой суп будет шедевром.
Заливаю перловку пока кипятком, пусть мокнет. И замешиваю фарш с рисом для тефтелек.
В кипящую воду забрасываю промытую перловку и кусочки фарша, пусть закипает..
А в это время режу лук и привлекаю бесплатный детский труд для трения морковки на мелкой терке. Делаю легкую зажарку.
Вода с тефтельками и перловкой как раз закипела, бросаем в кастрюлю зажарку.
Дальше, режем огурцы и картошку. В кастрюлю их.
Огурцы кстати мне достались супер солёные, то что надо для рассольника.
Теперь картошка пошла..
Теперь перчим, солим и мешаем.
И последний штрих - немного петрушечки для навара.
Закрываем крышкой, и варим оставшееся время. У меня на таймере осталось еще 30 минут.
Наконец, готово. Режу хлеб и разливаю по тарелкам. Интересно, как получилось.
И .. чудесно, скажу я вам. Живительный вкус рассола есть, нежные тефтельки потрясающи, наваристость присутствует и даже мягкая перловка получилась - это очень вкусно.
Спасибо за идею. И, как говорят китайцы, всем хорошо покушать.
Вомбаты, история про фейк и фейл.
Есть в Питере такое здание, Княжевская подстанция. Когда-то она была построена, чтобы питать током пригородную железную дорогу. Теперь в ней детский спортивный клуб и небольшой музей той железной дороги.
И вот я вычитал в Википедии, что возле этой подстанции растёт редкий каштанолистный дуб, который вообще-то водится на Кавказе, а в Питере его всего полторы штуки. Конечно, мне такое надо. Надо собрать от каштанолистного дуба жёлуди, чтобы посадить, чтобы у меня был такой дуб, которого почти ни у кого нет. Припёрся я за желудями и что же я обнаружил? Нихрена нет там каштанолистного дуба, там самый обыкновенный обыкновеннолистный дуболистный дуб, дуб черешчатый наверное, которых в Питере полно. Даже с другой стороны от той подстанции растут такие же дубы, только поменьше.
Желудей я, конечно, всё равно набрал, но настроение, конечно, испорчено. Ушёл, как говорится, рассольника не хлебавши.
P. S. Так-то я не дубовед и теоретически допускаю, что возле подстанции растёт не дуб черешчатый, а какой-то другой вид дуба, благо этих видов несколько сотен. Но не каштанолистный точно.
ДНС привёз нам морозильный ларь. Затащила дост авка на кухню, при них вскрыл - дефектов не нашёл, бумажки подписал. Лставили грухчики упаковку, а там "пупырка".
Вы не представляете - с женой по ентой пупырке босыми ногами топтались оба, пости вальс танцевали. Так прикольно хлопать пупырки ногами - ощущения...
Вот мы придурки или как? я 77года рождения, жена 72го...
Привет, вомбаты!
Поговорим о культуре?
В сентябре прошлого года я побывал на фестивале "Стороны света" в Юсуповском саду.
Юсуповский сад находится прямо в центре Петербурга, недалеко от начала дороги на Москву. При ём дворец, во дворце студенты учатся. Сад небольшой, но с фантазией. Там есть типа гора с типа пещерами, фигурные пруды, острова, мостики.
"Стороны света" – фестиваль национальных культур. Была музыка, такая, своеобразная. Типа бурятский рэп. Певица SpelaЯ впечатлила. Должны были быть "Отава Ё" (я их хотя бы название слышал), но я их не дождался, надо было уходить.
Ещё был пятачок с ларьками региональной еды. Чебуреки были, что-то северное, ещё что-то. Может и рассольник был, не помню. Там ещё сами по себе были тележки с хот-догами, так я непатриотично зохавал хот-дог с колой.
Народу было много. На прудах сидели довольно таки заядлые рыболовы с удочками, а рядом с рыболовами сидели коты. Видимо, в прудах водится какая-то рыба. Граждан, загоравших у пруда, какие-то чиновники прессовали на предмет прикрыться. Одну хорошо отдохнувшую тётю выводила росгвардия. Была реклама – раздавали буклетики с вклеенными пакетиками чая. Марку чая не помню, проклятый эклер. Но чай реально жлобский – всего 1, 2 грамма в пакетике. Я где-то читал, что чай темнее заваривается, если в воде много микроэлементов, и недобросовестные производители кладут в пакет мало чая, а для цвета добавляют селитру, или ещё какую-то соль. Так что, если заваривать чай, которого в пакетике всего 1,2 грамма, то это уже не чай заварится, а какой-то рассольник.
Ну, это я не о том.
Ещё на фестивале были мастер-классы. По национальным танцам, ещё по чему-то. И был мастер-класс по балалайкам, который провела няшная Варвара Летягина, инструментовед, хранитель музыкальных инструментов Шереметевского дворца – Музея музыки, куратор концертного отдела Молодёжного пространства «Палата ремёсел». и прочая, и прочая. Ну, мастер-классом это называлось громко, балалайки делать нас Варвара не научила. Была скорее лекция с демонстрацией балалаек и игры на них.
Так вот. (Это всё была преамбула). Перескажу коротенько, что я почерпнул, запомнил и придумал. Балалайка стала известна широкой просвещённой общественности благодаря Василию Васильевичу Андрееву. Он был из богатой семьи, был одарённым музыкантом, играл на разных инструментах, и возможно, стал бы знаменитым, например, скрипачом. Но однажды теплым летним вечером он прогуливался по своему имению и в вечерней тишине услышал какие-то чудесные звуки. Пойдя на их источник, он обнаружил, что эти звуки извлекает его работник из простой советской балалайки. "Кто бы мог подумать, что обычная 35-копеечная балалайка может звучать так чудесно!" – писал Андреев в своих мемуарах (он был очень скрупулёзен в денежных вопросах и аккуратно всё записывал, сказала Варвара). Андреев немедленно обзавёлся собственной балалайкой и стал её осваивать. Но что-то в конструкции ему не понравилось, какие-то нелады с ладами, он придумал, как сделать балалайку ещё лучше. И пошёл к самому лучшему петербургскому скрипичному мастеру Иванову. И говорит ему: "Скрипичный мастер Иванов, сделай мне зашибенную балалайку, у меня вот чертёжик есть". А скрипичный мастер Иванов ему отвечает: "Я самый лучший петербургский скрипичный мастер. Я делаю скрипки, благородный инструмент для благородных господ, я не буду делать мужицкую балалайку" . Но тут Андреев достал свою балалайку, ту, что купил до того, и показал скрипичному мастеру Иванову, как он на ней научился виртуозно играть. Скрипичный мастер Иванов проникся и согласился сделать для Андреева балалайку. Но только чтобы это был секрет, чтобы мастеру не упасть в глазах публики. И сам Иванов держал это а тайне, никому не говорил, что он делает балалайку, а если к нему в мастерскую кто-нибудь заходил, то Иванов прикрывал делаемую балалайку тряпочкой. В итоге Иванов таки сделал балалайку, и Андреев с ней произвёл фурор во всём мире, от Петербурга до Парижа, прославив русскую народную музыку.
А ирония судьбы состоит в том, сказала Варвара, что Иванов, который отказывался делать балалайку, вошёл в историю как создатель балалайки. Никаких скрипок, или там барабанов его авторства не известно, по крайней мере Варваре.
И вот что я подумал. А что если не было никакого скрипичного мастера Иванова. То есть скрипичный мастер был и, может быть, он даже был Иванов, но он не был известен как скрипичный мастер Иванов. Подумайте сами, разве могла быть у скрипичного мастера в XIX веке фамилия Иванов? Кто бы заказал скрипку у Иванова? У скрипичного мастера должна была быть фамилия, например, Джованини. А Иванову в самый раз балалайки делать. И Андреев ведь обещал мастеру никому не говорить, что мастер ему балалайку делает. Вот Андреев и сдержал своё слово и никому не сказал. И вместо фамилии, под которой мастер был известен, написал в мемуарах "мастер Иванов", рандомную фамилию, да ещё и с намёком, что фамилия не та.
Вот такая у меня гипотеза. Как думаете, вомбаты? Может быть, я совершил открытие, и про меня в энциклопедии напишут?
15 тысяч 947 дронов устроили шоу в небе Люяня. Выглядит впечатляюще, а если вспомнить, что любой дрон может нести не только фейерверки, то и пугающе. Фишка в том, что все они управлялись (а скорее всего были заранее запрограммированы) с одного компа.
Любуйтес и наслаждайтесь, дай бог эта летающая туча буден носить на себе только светодиодные фанарики...
Всем здравствовать!
Благодарю @msolovev29 с его напоминанием, про этот светлый праздник. Так давайте же отметим сей замечательный день взаимопонимания между отцами и сынами!
Всем здравствовать!
Поскольку выпуск тринадцатый по счёту, юбилейный, я решил, что почему бы не призвать тяжёлую артиллерию? Ну, в смысле против которой не устоит ни одно сердечко.
Господамы! Вомбратцы и бомбатяночки, встречайте, пожалуйста!
Johnny Cash - Personal Jesus.
Ютруп. Похоже умер насовсем.
Рутруп. В этот раз обделался не так уж жидко, как мог бы. Просто качество видео не фонтан, но с другой стороны, мы ведь слушаем музыку, а не смотрим.
ВК днина в плане качества поддерживает рутруп, но не будем, в этот раз, никого винить. Видео, всё-таки не новое.
Третья подборка видеоигр, действие которых происходит в постсоветских странах. Ещё 10 пунктов, в которые уместится на самом деле куда больше проектов. Разные жанры, разные страны производства, разный взгляд на нашу СНГ-шную действительность.
В этой подборке ещё больше жанровых экспериментов. Найдётся место и трешовым играм-мемам, и рефлексии по реально трагичным страницам нашей современной истории.
Важно: тут только проекты, действие которых происходит ПОСЛЕ распада СССР. Если действие вашей любимой игры происходит до его распада, её здесь не будет.
Важно: постапокалипсиса нет. Про него было отдельные подборки. Ссылки в конце.
Отдельно для тех, кто читает это на DTF: Metro и Stalker в подборке не будет. Почему то в комментариях на первые две подборки именно на этом сайте попадались самые "высокоинтеллектуальные" читатели.
Это третья подборка. Если есть какая-то игра, которой нет в этом посте, то она была в прошлых или будет в следующих подборах. Но, если что-то вспомните, пишите. Вот "Храм детей" подсказали в комментариях (включу в будущем).
Извините, что приходится столько пояснять, но посты выкладываются на нескольких сайтах и кто-нибудь нет-нет, да напишет "А где You Are Empty и Atomic Heart? Аффтар выпей йаду!".
Жанр - Визуальная новелла
Год - 2021
Платформа - ПК
Разработчик - Unusual Meaning (Россия)
Издатель - Regrette LKP
Визуальная новелла про школьника, разработанная при участии создателей "Бесконечного лета".
Действие происходит летом 2018 года в Москве. Главный герой - готовящийся к поступлению в вуз парень. Он хочет просто накопить на мощный игровой ноутбук (конечно же, исключительно для учёбы). Автор заявил историю как мрачную драму, чуть ли не неонуар, хотя на самом деле она достаточно позитивная и полна юмора.
Жанр - симулятор ходьбы
Год - 2015
Платформа - ПК, PS4, Xbox One, Nintendo Switch
Разработчик - IMGN.pro (Польша)
Издатель - IMGN.pro
Ужастик, посвящённый расследованию тайны гибели группы Дятлова в 1959 году.
Главный герой - безымянный исследователь, отправившийся по маршруту погибших туристов. По ходу путешествия обстановка становится всё более странной и фантасмагоричной, а в сюжет будут вплетены возможные городские легенды и мифы, относительно возможных причин случившегося.
В реальности исследователи сходятся на мнении, что группа погибла из-за неправильного выбора места для лагеря и схода снежных плит, но здесь вам и мистика, и эксперименты злобных КГБ, и даже ГУЛАГу место найдётся.
Ну а по факту это симулятор ходьбы в духе того же "Слендера" или подобных ужастиков. Ходим по горам, исследуем леса, собираем улики, орудуем компасом и картой. Пугает в первую очередь атмосфера холодной пустоты, странные знаки, шёпот ветра и голос Шона Бина, читающего на фоне дневники погибших.
Жанр - Beat 'em Up
Год - 2020
Платформа - ПК
Разработчик - Unique Media (Россия)
Издатель - Unique Media
Разбавим мрачнуху юмором. Бомжмэн, это Beat 'em Up про супергероя: человека-бомжа. Она сделана по мотивам одноимённого популярного в узких кругах мультфильма и рассказывает о борьбе бомжа с несправедливой системой.
Да, это треш: тут можно использовать грязный носок в качестве бумеранга, а старый валенок как газовую гранату. Но, внезапно, проект сделан неплохо в техническом плане и с точки зрения стиля. Задники хорошо прорисованы, сеттинг сочетает окружение бесславных 90-х с элементами футуризма из дешёвой фантастики, а повествование наполнено сатирой и чёрным юмором.
Геймплей не сводится к одному лишь мордобою: доступен немалый по меркам жанра набор огнестрела. Уровни разнообразные, враги тоже, проходится это дело за пару часов. Можно ознакомиться, но будьте готовы к достаточно мерзкому визуальному стилю (особенно в катсценах).
Два хоррора про суровое выживание в хрущёвках. Хотя во втором скорее даже не хрущёвка, а недешёвая такая сталинка. И оба проекта завязаны на недавно умерших родственниках.
В первой игре мы попадаем в квартиру умершего недавно дедушки. Главный герой пришёл туда за семейным альбомом, но в один момент понял, что хозяину надоело лежать в гробу и он вернулся домой. Ну и конечно незваным гостям он не рад. Усложняет всё то, что дверь заперта и просто так уйти не получится, придётся исследовать квартиру, старясь не попасться на глаза старику.
Вторая игра менее мрачная. Даже вышла на Switch и Playstation. Её главный герой приехал в квартиру погибшего незадолго до событий сюжета отца. Тот был художником и содержал целую галерею дома, доставшуюся в наследство протагонисту. И в этом и проблема - главный герой, исследуя гигантскую родительскую квартиру/галерею понимает, что что-то не так с отцовскими произведениями, да и вообще чертовщина тут твориться жуткая.
Целая франшиза, начатая в далёком 2014 году симулятором Spintires, позже получившем продолжения MadRunner, SnowRunner, RoadCraft и Expeditions. И все, кроме, Roadcraft и Expeditions содержат локации в России, а также немного в Казахстане и Азербайджане. Хотя в поздних играх позволили покорить и бездуховное западное бездорожье. Вот в Roadcraft и Expeditions ситуация сложнее - они вышли после 2022 года и в них все указания на конкретные страны были заменены на "Восточная Европа". Причина проста - владеющая франшизой Saber Interactive, изначально российская студия, ныне переехала в США и старается не "светить" свои русские корни, чтобы не попасть под санкции и/или отмену.
Так вот. А что же вообще за игра такая и что там нужно делать по всему миру? Это симулятор езды по бездорожью в разнообразных медвежьих углах. Иногда нужно будет просто проехать из точки А в точку Б, но есть и конкретные миссии по доставке грузов или помощи застрявшим в грязи бедолагам. Особенно это дело развили в поздних частях (в тех же Expeditions), где сделали открытый мир и побочные квесты.
В целом описывать эти игры даже не имело смысла, потому что они итак достаточно популярны. Тот же SpinTires на релизе стал самой продаваемой игрой Steam, показав всему миру красоту русской природы. Ну как природы - бездорожья. А подойдут эти симуляторы повзрослевшим мальчикам, желающим поиграть в машинки после работы. Любителям танков и дальнобойщиков к ознакомлению обязательны.
Сегодня любят делать симуляторы на самые разные темы: от игр про кассиров в супермаркете до симуляторов камня. Рано или поздно кто-то должен был сделать и симулятор поездок в вагонах РЖД. Тем более, что реально есть люди, которым нравится кататься на поездах, видите ли романтика в этом есть. Вот дождались такой романтики в интерактивном виде: вы просто садитесь на поезд и едете до конечной станции, останавливаясь на стоянки. Всё. Можно ходить, сидеть, лежать, слушать болтовню других пассажиров и смотреть в окно. Никаких сюжетов, диалогов или чего-то подобного.
И вы подумаете: "Это же скучно! Что может быть интересного в поездках на автобусе? Эта игра никогда не станет успешной!". Так вот - на сегодняшний день она уже заработала кучу денег и превратилась в полноценную франшизу. Только основная подсерия Russian Train Trip насчитывает уже три части, также есть спин-оффы Train Travel Simulator, Trans-Siberian Legends и даже ответвление про Китай Chinese Train Trip. Более того - почти для каждой части выходят DLC.
Конечно нельзя сказать, что автор вообще ничего не меняет: в поздних играх появились и диалоги, и подобие сюжета, и симуляция самих путешествий (прогулки по городу, альбомы и т.д.). Да и каждой части серии стабильно отсыпают наград на инди-фестивалях.
Также на 2025 год тем же разработчиком анонсирована игра Red Passport: Ticket to Russia: то же самое, но про самолёт.
Жанр - Survival Horror
Год - 2021
Платформа - ПК
Разработчик - Andreev Worlds (Россия (?))
Издатель - My Way Games
Прямо скажем, спорная штука. Это снова хоррор, но не про нечисть или маньяков, а про дрянь куда страшнее: про ковид.
Причём основной темой стала даже не сама болезнь, а самоизоляция, которой нас всех торжественно встретили двадцатые. Встретил её в России и главный герой игры - американский турист, приехавший в российский город Замкадск зимой 2020 года и застрявший в нём из-за эпидемии. Вроде бы выживать как-то надо, но даже в магазин сходить тяжело, потому что по улицам ходит полиция и отлавливает нарушителей режима.
Мало того, что игра довольно забагованная и плохо оптимизированная, она ещё и наполнена странными социальными комментариями/отсылками от автора. Да и стилистика довольно чернушная. Ну а в целом - внимания заслуживает, всё таки тема ковида в игровом формате раскрыта почти не была.
Жанр - Quest / RPG
Год - 2018
Платформа - ПК
Разработчик - Mehsoft (Россия)
Издатель - Mehsoft
Киберпанк в антураже Москвы 24 века от Ильи Мэдисона.
Основной геймплей представляет изометрическую бродилку с диалогами
Во вселенной игры человечество в один момент открыло бессмертие, но с оговоркой, что прошедшие соответствующую процедуру люди стали опасны для окружающих. Из-за этого правительство отселило таких человеков на Марс, хотя элиты тайно продолжили продлевать себе жизнь.
Главный герой - бывший охотник на таких бессмертных, ныне отошедший от дел и устроившийся таксистом. Но в один момент ему приходится вернуться на надоевшую работу.
Также случаются вот такие перестрелки от третьего лица
Сама по себе игра простенькая - это квест с элементами довольно кривой стрелялки. Но не ради геймплея сюда заходят. Тут довольно неплохой сюжет и очень хорошая стилистика, сочетающая постсоветскую эстетику с нуаром и киберпанком. Этакий "Бегущий по лезвию" в России. Также в наличии куча отсылок и приколов.
Жанр - Симулятор ходьбы
Год - 2018
Платформа - ПК, PS4, Xbox One, Nintendo Switch
Разработчик - Jujubee S.A. (Польша)
Издатель -Jujubee S.A.
Ещё одна польская поделка на тему трагедий России. Теперь за основу взята гибель подводной лодки "Курск" в 2000 году.
Причём в саму историю катастрофы добавили примесь конспирологии: главный герой - американский шпион, посланный на лодку для добычи информации о секретных российских торпедах. По ходу игры мы будем выполнять задания команды, чтобы втереться к ней в доверие, а также делать всякие шпионские штуки.
Что бы ни говорили про сюжет и геймплей, но интерьеры подлодки выполнены очень детально
Правда доверие мы будем зарабатывать, выполняя однотипные задания, бегая туда-сюда по лодке. Геймплей в целом достаточно однообразен, из-за чего игра получила достаточно низкие оценки. Шпионская часть подана довольно наивно: ощущение, что агента завербовали только вчера и он сам не знает что от него требуется. При всём при этом, что сама игра, что её разработчики подают всё это на таком серьёзе, что могло бы быть смешно, если бы не мрачная история, случившаяся в реальности.
Также существует австралийский квест "Undercover Missions: Operation Kursk K-141" на ту же тему. Там лодку можно спасти.
Жанр - Shoot ’em up
Год - 2015
Платформа - ПК
Разработчик - Dagestan Technology (Россия)
Издатель - Dagestan Technology
И под конец ещё веселья. Bloodbath Kavkaz, это клон Hotline Miami про криминальные разборки в Москве.
Правда направленность у игры юмористическая - вместо психоделичного тона вдохновителя разработчики сделали упор на...МЕМАСИКИ. Тут они везде, а где не нашлось места мемам, вставили просто приколов.
Сюжет: на главного героя некто совершает покушение и совершает почти успешно: протагонист попадает в больницу и лежит там при смерти. Но в один момент его забирают некие люди и привозят к самому Владимиру Путину, который нанимает его для всякой грязной работы.
Геймплейные отличия от вдохновителя минимальны, но они есть. Например, теперь не обязательно зачищать уровень под 0 (всегда есть определённое задание), можно подбирать патроны, бить врагов с ноги, замедлять время, иногда вместе с главным будут сражаться ИИ-напарники, даже есть уровни на машинах. Как и в НМ нужно выбирать головные уборы, дающие уникальные умения. Есть как привычные маски (того же Гая Фокса), так и кепки (228, FBI и т.д.).
Да, треш. Да, чувство юмора у авторов своеобразное. Но, если воспринимать её, как этакий ответ "Ядерному титбиту" от поколения молодёжи середины десятых, то она имеет место быть.
Продолжение следует
На данный момент написал материал уже для семи подборок, но будут и новые по мере сбора материала. Предлагайте свои варианты, пишите примечания, дополнения. Спасибо за внимание.
Сегодня был на кладбище. Типа не сезон уже, считается , что после Покрова на кладбище не ходят, но так совпало. И там, у входа, где администрация и стенд с планом, на земле увидел монетки. Рубль и чирик. И что вы думаете? Не стал подбирать. А не прочитал бы пост уважаемой @el.melahel – подобрал бы.
Убытки с вомбатом :-(
Песня "Петрозаводск" для тех, у кого сейчас лирическое настроение и хочется послушать хорошую спокойную душевную песню.
История "Дневник аборигена из Карелии" написана от имени "аборигена", местного жителя. А вот песню поёт "турист", который едет в Петрозаводск.
Есть некоторые пересечения в текстах.
Например, тема "Луна и солнце" (напрягает меня немного, что Луна с большой буквы, а солнце с маленькой, но ладно, сейчас не об этом).
В первоисточнике так.
-- Цитата начало
...
- Чем меньше вмешательство человека в природу, тем лучше и для человека, и для природы, - заявил москвич, - не надо тут ничего делать. А то получится, как в Москве.
- Как в Москве никогда не получится, - успокоил я туристов, - обратите внимание на Запад. Я имею в виду, посмотрите вон в ту сторону.
- Какая же красивая и необычная у вас Луна, - выразил восторг москвич, рассматривая заходящее солнце, - никогда в жизни не видел такой Луны.
Петербуржец почувствовал глупость москвича, но спорить не стал. Я тоже из вежливости промолчал.
...
-- Цитата конец
В песне так.
-- Цитата начало
...
Как здесь красиво заходящее солнце,
Как на картине известного японца,
Кто-то думает, что это Луна,
Ошибка эта весьма распространена.
...
-- Цитата конец
Песня подходит для любого возраста, годится для семейного прослушивания.
Есть откровенно детские вставки.
Например.
-- Цитата начало
...
(Юкси, какси ... )
(Здесь забор подкрасьте ... )
(Кольме, нэлья ... )
(Тут как насчёт веселья?)
(Виси, куси, )
(Собака не укусит?)
...
-- Цитата конец
Приглашаю на прослушку песни тонких ценителей поэзии и современной качественной музыки. И первоисточник тоже не забудьте прочитать - перечитать.
...
Первоисточник:
Песня 027. Песня "Петрозаводск"
История 00065. "Дневник аборигена из Карелии"
А вот, собственно, заказ. Можете критиковать.
Оплата с процентов за некоторое время, поэтому могую и практикую. 😎
Поздравьте меня. Сегодня выиграл банковское бинго по блокировкам счетов. А всего-то попытался оплатить по СБП заказ в онлайн-магазине. Официальном, ЧСХ, магазине. С ПВЗ и прочими плюхами.
В обоих случаях пришлось отвечать на однотипные вопросы вроде: вам предлагали быстрый заработок, вам звонили с незнакомых номеров, ...
Сцуко, четыреждыблядская агрессия, я, блядь, просто хотел оплатить заказ.👿
Ещё, по алгоритму поясняют, что это забота о безопасности. 🤦♂️
Два банка подряд, Карл. За один день.
Писать какие банки не стану, ибо понимаю, что эта хуеверть повсеместно.
В России, начиная с 2021 года, отмечается важный семейный праздник – День отца, официально установленный Указом Президента РФ № 573 от 4 октября 2021 года «в целях укрепления института семьи и повышения значимости отцовства в воспитании детей». Дата его празднования – третье воскресенье октября.
Уважаемые папы, поздравляем вас с этим замечательным праздником! Быть папой — это большая ответственность и огромное счастье. Вы — главные защитники, мудрые наставники и лучшие друзья для своих детей. Спасибо вам за любовь, заботу, терпение и за тот бесценный пример мужества и доброты, который вы подаете каждый день.
Желаем крепкого здоровья, неиссякаемой энергии, семейного благополучия и как можно больше поводов для гордости за своих малышей! Пусть каждый день будет наполнен радостными моментами, детским смехом и теплом семейного очага!
Дорогие друзья, давайте вместе поздравим наших отцов! Поделитесь в комментариях своими историями или фото с папой. С праздником, папы!